孟经理:187-6580-9607

    热线电话:0531—88982896 

 

首页 >> 新闻动态 >>行业动态 >> 含磷废水处理法
详细内容

含磷废水处理法

含磷废水,处理方案,吸附法

地表水体富营养化是当今世界许多国家最为关注的水环境问题之一,而工业、农业和家庭等磷源向地表水体的过量排放可以导致水体发生严重的富营养化.因此,含磷废水排入地表水体之前,对它们所含的磷进行去除是非常必要的.目前,许多方法已经被开发用于水中磷的去除,包括生物法、化学沉淀法、结晶法、离子交换法和吸附法.其中,吸附法被认为是一种极具应用潜力的水中磷酸盐去除方法.目前,许多吸附剂材料,特别是金属 (铝、铁、镧、铈和锆等) 氧化物和氢氧化物已经被开发用于水中磷酸盐的吸附去除.其中,水合氧化锆被认为是一种极具应用前景的除磷吸附剂材料,因为利用水合氧化锆作为除磷吸附剂材料具备许多显著的优点:对磷的吸附能力强、无毒、对氧化剂的抗氧化能力强、酸性和碱性条件下物理化学性质稳定等.

  水合氧化锆可以通过液相沉淀法制备得到,具体制备过程可以是:首先选用可溶性锆盐配制锆盐溶液,再向锆盐溶液投加沉淀剂调节溶液的pH值,通过化学反应使锆离子沉淀或结晶出来,最后将沉淀物从溶液中分离出来.当向锆盐溶液中投加不同剂量的沉淀剂时,锆盐溶液的最终pH值预计是不同的,并且所形成的水合氧化锆表面性质可能是不同的,而不同表面性质的水合氧化锆对水中磷酸盐的吸附能力可能是不同的.因此,对比分析不同沉淀pH值条件下制备得到的水合氧化锆对水中磷酸盐的吸附作用,对于应用水合氧化锆吸附去除水中磷酸盐而言是非常必要的.目前,国内外关于这方面的研究尚鲜见报道.因此,本文的研究目标就是对比不同分析不同沉淀pH值条件下制备的水合氧化锆对水中磷酸盐的吸附作用.为实现这个目标,本文首先考察了溶液共存电解质和溶液pH值对不同沉淀pH值条件下制备的水合氧化锆吸附水中磷酸盐的影响,并对比分析了共存不同类型电解质条件下不同水合氧化锆对水中磷酸盐的吸附性能,再对比考察了不存在Ca2+和存在Ca2+这2种情况下不同水合氧化锆对水中磷酸盐的吸附等温线,最后对比分析了不同水合氧化锆的吸磷机制,以期为应用水合氧化锆去除水中磷酸盐提供帮助.

  1 材料与方法1.1 水合氧化锆制备

  分别称取3份质量均为20 g的八水氧氯化锆 (ZrOCl2 ·8H2O) 置于3个1 L锥形瓶中,再分别向每个锥形瓶加入400 mL水,使锥形瓶中ZrOCl2 ·8H2O溶解;利用移液管分别将不同剂量的1 mol ·L-1 NaOH溶液缓慢滴加到上述3份ZrOCl2溶液中,滴加过程中采用磁力搅拌器对锥形瓶中溶液进行搅拌,最终使上述锥形瓶中溶液的pH值分别为4.8、8.0和10.6;反应完成后将上述锥形瓶中混合液采用离心分离的方式获得固体材料,再用去离子水反复洗涤所获得的固体材料,直至清洗液中无氯离子检出 (采用AgNO3溶液检测);最后将沉淀物放入105℃烘箱内烘干,研磨破碎,放入样本瓶中待用.沉淀pH值为4.8、8.0和10.6条件下制备得到的水合氧化锆分别命名为ZrO2(4.8)、ZrO2(8.0) 和ZrO2(10.6).

  1.2 水合氧化锆表征

  采用X射线荧光光谱 (XRF) 仪 (日本岛津公司生产,型号为XRF-1800) 对不同沉淀pH值条件下制备的水合氧化锆的化学成分进行测定.采用pH值漂移法对不同沉淀pH值条件下制备的水合氧化锆表面的质子化和去质子化反应进行研究,具体的实验过程为:配制0.01 mol ·L-1 NaNO3溶液,并将它们的pH值分别调节至4、5、6、7、9、10和11;分别称取20 mg水合氧化锆加入到一系列的塑料瓶中,再分别加入不同初始pH值 (pHi) 的NaNO3溶液;然后再将塑料瓶置于25℃的水浴振荡器中进行振荡反应;反应72 h后测定NaNO3溶液的最终pH值 (pHf);以pHi为横坐标,以ΔpH=pHi-pHf为纵坐标作出曲线,pHi-pHf=0时的pHi即为水合氧化锆的零电荷点 (pHPZC).

  1.3 吸附实验

  通过批量吸附实验首先考察溶液共存电解质 (NaCl、NaHCO3、Na2SO4和CaCl2等) 对不同水合氧化锆吸附水中磷酸盐的影响,再考察溶液pH值对不同水合氧化锆吸附水中磷酸盐的影响,最后对比考察不存在Ca2+和存在Ca2+条件下不同水合氧化锆对水中磷酸盐的吸附等温线.具体的实验步骤为:首先采用KH2PO4配制磷酸盐溶液 (质量浓度均以PO43-计),再采用0.1 mol ·L-1 NaOH和HCl溶液将磷酸盐溶液的pH值调节至一定的值;然后量取25 mL的磷酸盐和称取10 mg水合氧化锆一并置于锥形瓶中,再将锥形瓶置于25℃的水浴振荡器中以150 r ·min-1的速度进行振荡反应;反应24 h后,取出锥形瓶,采用离心分离方式对锥形瓶中的混合液进行固液分离,再采用钼锑抗分光光度法测定上清液中磷酸盐的浓度,并采用便携式pH计测定上清液中的最终pH值.对于共存电解质影响实验,溶液初始pH值为7,磷酸盐初始质量浓度为40 mg ·L-1,共存电解质初始浓度为2 mmol ·L-1.对于溶液pH值影响实验,溶液初始pH值分别为4、5、6、7、8、9、10和11,磷酸盐初始质量浓度为40 mg ·L-1,共存NaCl初始浓度为10 mmol ·L-1.对于吸附等温线实验,溶液初始pH值为7,溶液共存NaCl浓度为10 mmol ·L-1,共存Ca2+浓度为0或1 mmol ·L-1.

  为识别共存Ca2+对水合氧化锆吸附水中磷酸盐的影响机制,对比考察了水合氧化锆和Ca2+负载水合氧化锆对水中磷酸盐的吸附能力.具体的实验步骤为:首先将50 mg水合氧化锆与125 mL的1 mmol ·L-1 CaCl2溶液混合,反应24 h后制备得到Ca2+负载水合氧化锆;然后再分别将10 mg水合氧化锆和10 mg Ca2+负载水合氧化锆与25 mL的30 mg ·L-1磷酸盐溶液 (共存NaCl浓度为10 mmol ·L-1,pH 7) 混合,反应24 h后离心分离;最后测定上清液中磷酸盐的浓度.

  为进一步识别Ca2+对水合氧化锆吸附水中磷酸盐的影响机制,还对比考察了磷负载水合氧化锆和先磷负载再Ca2+负载水合氧化锆对水中磷酸盐的吸附能力.具体实验步骤为:首先将100 mg水合氧化锆与250 mL的30 mg ·L-1磷酸盐溶液 (pH为7) 混合,反应24 h后制备得到磷负载水合氧化锆;然后再将50 mg磷负载水合氧化锆与125 mL的1 mmol ·L-1CaCl2溶液混合,制备得到先磷负载再Ca2+负载水合氧化锆;然后再分别将10 mg磷负载水合氧化锆和10 mg先磷负载再Ca2+负载水合氧化锆与25 mL的30 mg ·L-1磷酸盐溶液 (共存NaCl浓度为10 mmol ·L-1,pH 7) 混合,反应24 h后离心分离;最后测定上清液中磷酸盐的浓度.

  1.4 数据处理

  水合氧化锆对水中磷酸盐的单位吸附量 (Qe,mg ·g-1) 采用公式 (1) 进行计算:

 

  式中,c0和ce分别为初始时刻和平衡时刻溶液中磷酸盐的质量浓度 (mg ·L-1);V为溶液体积 (L);m为水合氧化锆投加质量 (g).

  为了研究吸附机制以及确定最大吸附容量等信息,采用Langmuir、Freundlich和Dubinin-Redushckevich (D-R) 等温吸附模型对等温吸附线实验数据进行拟合.线性化Langmuir等温吸附模型的数学表达式为:

 

  式中,ce为水中吸附质的平衡质量浓度 (mg ·L-1);Qe为吸附剂对水中吸附质的单位吸附量 (mg ·g-1);Qm为吸附剂对吸附质的最大单层单位吸附量 (mg ·g-1);KL为Langmuir常数 (L ·mg-1).无量纲常数分离因子 (RL) 可以用于表达Langmuir等温吸附线的本质特征,它可以采用以下公式进行计算:

 

  式中,c0为水中吸附质的初始质量浓度 (mg ·L-1). RL值可以指示吸附的优惠性:① 0 < RL < 1,优惠吸附;② RL>1,非优惠吸附;③ RL=1,线性吸附;④ RL=0,不可逆吸附.线性化Freundlich等温吸附模型的数学表达式为:

 

  式中,KF和1/n为Freundlich常数. KF与吸附剂的吸附容量直接相关,KF值越大,表示吸附容量越大.如果n>1,则吸附属于优惠吸附.线性化D-R吸附等温模型的数学表达式为:

 

  式中,ce为水中吸附质的平衡浓度 (mol ·L-1);Qe为吸附剂对水中吸附质的单位吸附量 (mg ·g-1);Q0为吸附剂对水中吸附质的最大单位吸附量 (mg ·g-1);KDR为D-R等温吸附模型常数 (mol2 ·kJ-2);T为反应温度 (K);R为理想气体常数[kJ ·(mol ·K)-1]. KDR可以被用来进一步计算平均吸附自由能 (E,kJ ·mol-1). E的计算公式为:

 

  如果吸附反应属于物理吸附,那么E值通常是小于8 kJ ·mol-1[30].如果吸附反应属于化学吸附,那么E值通常是大于8 kJ ·mol-1.

  2 结果与讨论2.1 水合氧化锆性质表征

  沉淀pH值分别为4.8、8.0和10.6条件下制备的水合氧化锆的化学成分组成 (质量分数) 见表 1.由表 1可见,不同沉淀pH值条件下制备的水合氧化锆的化学成分均主要为ZrO2.这说明通过液相沉淀法可以成功地制备得到氧化锆.由表 1还可见,ZrO2(4.8) 和ZrO2(8.0) 还包含少量的Cl,并且ZrO2(8.0) 的Cl含量明显低于ZrO2(4.8),而ZrO2(10.6) 则不含Cl.这说明,随着沉淀pH值的增加,水合氧化锆的Cl含量出现下降,直至最终消失.

  

  表 1 不同沉淀pH值条件下制备的水合氧化锆的化学成分/%

  不同沉淀pH值条件下制备的水合氧化锆的pHi-pHf与pHi的关系见图 1.从中可见,当溶液pH值为4~11时,ZrO2(4.8) 和ZrO2(8.0) 均会通过表面羟基的去质子化反应[见方程式 (7)]消耗溶液中OH-,从而导致溶液pH值的下降.这2种水合氧化锆的pHPZC显然均是低于4.与ZrO2(8.0) 相比,ZrO2(4.8) 消耗溶液中OH-的能力更强,从而导致溶液pH值的下降幅度更大.由图 1还可见,ZrO2(10.6) 的pHPZC为6.6;当溶液pH值小于6.6时,ZrO2(10.6) 会通过表面羟基的质子化反应[见方程式 (8)]消耗溶液中H+,从而导致溶液pH值的增加;当溶液pH值大于6.6时,ZrO2(10.6) 则会通过表面羟基的去质子化反应[见方程式 (7)]消耗溶液中OH-,从而导致溶液pH值的下降.当溶液pH值大于6.6时,与ZrO2(10.6) 相比,ZrO2(8.0) 消耗溶液中OH-的能力更强,从而导致溶液pH值的下降幅度更大.

 
 

  

图 1 不同沉淀pH值条件下所得水合氧化锆的pHi-pHf与pHi的关系

  根据以上分析可知,当溶液pH值为4~11时,ZrO2(4.8) 和ZrO2(8.0) 表面电荷均为负值;当溶液pH值为4~6.6时,ZrO2(10.6) 表面电荷为正值,而当溶液pH值为6.6~11时,ZrO2(10.6) 表面电荷则为负值.当溶液pH值大于水合氧化锆的pHPZC时,随着制备水合氧化锆的沉淀pH值的增加,水合氧化锆表面携带的负电荷数量预计更少.

  2.2 共存电解质对磷吸附的影响以及不同水合氧化锆吸磷性能的对比

  城市污水中通常会存在Cl-、HCO3-、SO42-、Na+和Ca2+等阴阳离子,它们可能会影响水合氧化锆对城市污水中磷酸盐的吸附去除.因此,为了确定利用水合氧化锆吸附去除城市污水中磷酸盐的可行性,探讨共存NaCl、CaCl2、NaHCO3和Na2SO4等电解质对水合氧化锆吸附水中磷酸盐的影响是非常必要的. 图 2为共存电解质对不同沉淀pH值条件下制备的水合氧化锆吸附水中磷酸盐的影响.从中可见,当溶液共存的NaCl浓度由0增加到2 mmol ·L-1时,ZrO2(4.8)、ZrO2(8.0) 和ZrO2(10.6) 对水中磷酸盐的单位吸附量分别增加了8.1%、2.3%和33.3%.这说明共存的NaCl仅仅会略微促进了ZrO2(4.8) 和ZrO2(8.0) 对水中磷酸盐的吸附,却会极大地促进了ZrO2(10.6) 对水中磷酸盐的吸附.水合金属氧化物包括水合氧化锆吸附水中磷酸盐的机制包括2种:① 静电吸引作用和外层配合物形成;② 配位体交换作用和内层配合物形成.当磷酸盐溶液初始pH值为7时,ZrO2(4.8)、ZrO2(8.0) 和ZrO2(10.6) 表面带负电荷.因此,当溶液初始pH值为7时,静电吸引不是这3种水合氧化锆吸附水中磷酸盐的主要机制.吸附对离子强度的依赖程度可以被认为是识别内层配合物和外层配合物形成的依据.如果磷酸盐被吸附到吸附剂表面上后形成了外层配合物,则离子强度会抑制吸附剂对磷酸盐的吸附.如果磷酸盐被吸附到吸附剂表面上后形成了内层配合物,则离子强度对磷酸盐吸附无影响或者促进了磷酸盐吸附[15]. 图 2的实验结果说明了当溶液初始pH值为7时磷酸盐主要以内层配合物形式被吸附到ZrO2(4.8)、ZrO2(8.0) 和ZrO2(10.6) 表面上.考虑到Cl-对水合氧化锆吸附水中磷酸盐几乎无负面影响,因此图 2的实验结果说明了共存的Na+促进了水合氧化锆对水中磷酸盐的吸附.

  

图 2 共存电解质对不同沉淀pH值条件下所得水合氧化锆吸附水中磷酸盐的影响

  与不存在电解质相比,存在2 mmol ·L-1 CaCl2情况下ZrO2(4.8)、ZrO2(8.0) 和ZrO2(10.6) 锆对水中磷酸盐的单位吸附量分别增加了5.2%、66.8%和144%(图 2).考虑到Cl-对水合氧化锆吸附水中磷酸盐几乎无负面影响,因此图 2的实验结果说明了共存的Ca2+仅仅会略微促进了ZrO2(4.8) 对水中磷酸盐的吸附,却会极大地促进了ZrO2(8.0) 和ZrO2(10.6) 对水中磷酸盐的吸附.此外,进一步对比分析Na+和Ca2+对水合氧化锆吸附水中磷酸盐的促进作用发现,Na+和Ca2+对ZrO2(4.8) 吸附水中磷酸盐的促进作用差别不大,而对ZrO2(8.0) 和ZrO2(10.6) 吸附水中磷酸盐的促进作用却差别巨大.共存Ca2+对ZrO2(8.0) 和ZrO2(10.6) 吸附水中磷酸盐的促进作用远远大于共存的Na+.

  与存在2 mmol ·L-1 NaCl相比,存在2 mmol ·L-1 Na2SO4情况下ZrO2(4.8)、ZrO2(8.0) 和ZrO2(10.6) 对水中磷酸盐的单位吸附量分别下降了26.9%、2.7%和7.7%(图 2).这说明共存SO42-极大地抑制了ZrO2(4.8) 对水中磷酸盐的吸附,而仅仅是略微抑制了ZrO2(8.0) 和ZrO2(10.6) 对水中磷酸盐的吸附.与存在2 mmol ·L-1 NaCl相比,存在2 mmol ·L-1 NaHCO3情况下ZrO2(4.8)、ZrO2(8.0) 和ZrO2(10.6) 对水中磷酸盐的单位吸附量分别下降了68.5%、18.6%和13.9%(图 2).这说明共促的HCO3-会抑制水合氧化锆对水中磷酸盐的吸附,并且对ZrO2(4.8) 吸附磷酸盐的抑制作用远大于对ZrO2(8.0) 和ZrO2(10.6). HCO3-和SO42-抑制水合氧化锆对水中磷酸盐的吸附,这主要是因为HCO3-和SO42-会与磷酸根阴离子竞争水合氧化锆表面的活性吸附位即表面羟基基团 (Zr-OH) 的缘故.与存在Na2SO4情况下相比,存在NaHCO3情况下水合氧化锆对水中磷酸盐的单位吸附量较低 (图 2).这说明共存的HCO3-对水合氧化锆吸附水中磷酸盐的抑制作用强于SO42-.这可能是因为HCO3-与吸附活性位的结合能力大于SO42-的缘故.

  不同水合氧化锆对水中磷酸盐吸附能力的差异,与是否共存电解质以及共存电解质种类密切相关.当不存在共存电解质时,ZrO2(4.8) 对磷酸盐吸附能力略强于ZrO2(8.0),后者的磷酸盐单位吸附量仅比前者少了7.4%.同样情况下,ZrO2(4.8) 对磷酸盐的吸附能力却明显高于ZrO2(10.6),后者的磷酸盐单位吸附量足足比前者少了24.8%.这说明随着制备水合氧化锆的沉淀pH值增加,水合氧化锆对纯磷酸盐溶液中磷吸附能力逐渐下降.水合氧化锆对水中磷酸盐的吸附能力可能不仅受吸附剂表面性质的影响,而且受水中磷酸盐存在形态的影响.一方面,随着制备水合氧化锆时沉淀pH值增加,水合氧化锆表面负电荷数量逐渐减少,从而使得水中带负电荷的磷酸盐和吸附剂表面之间的静电排斥力减少,这有利于水中磷酸盐的被吸附.另一方面,沉淀pH值越高条件下制备的水合氧化锆导致溶液pH值下降的幅度越小,从而使得溶液中以HPO42-形态存在的磷酸盐越多而以H2PO4-形态存在的磷酸盐越少,这将不利于水中磷酸盐的被吸附,因为H2PO4-的吸附自由能更小,更有利于被水合氧化锆通过配位体交换作用所吸附.吸附剂表面负电荷数量变化所带来的有利影响会被水中磷酸盐形态变化所带来的不利影响所抵消,从而导致沉淀pH值越高时所得水合氧化锆对纯磷酸盐中磷吸附能力越低.

  共存2 mmol ·L-1 NaCl情况下,ZrO2(8.0) 和ZrO2(10.6) 对水中磷酸盐单位吸附量仅比ZrO2(4.8) 略低,前二者的磷酸盐单位吸附量比后者分别低12.4%和8.4%.因此,如果城市污水仅仅共存Na+和Cl-情况下,沉淀pH值为4.8、8.0和10.6这3种情况下制备的水合氧化锆均适合用于城市污水中磷酸盐的去除.

  共存2 mmol ·L-1 CaCl2情况下,ZrO2(8.0) 和ZrO2(10.6) 对水中磷酸盐的吸附能力明显强于ZrO2(4.8),前二者的磷酸盐单位吸附量分别比后者足足多了46.8%和74.3%.因此,如果城市污水存在Ca2+的情况下,与沉淀pH值为4.8时所得水合氧化锆相比,沉淀pH值为8.0和10.6时所得水合氧化锆更适合作为吸附剂用于城市污水中磷酸盐的去除.

  共存2 mmol ·L-1 NaHCO3情况下,ZrO2(10.6) 对水中磷酸盐的吸附能力略强于ZrO2(8.0),后者的磷酸盐单位吸附量比前者仅少了10.6%.同样情况下,ZrO2(8.0) 和ZrO2(10.6) 对水中磷酸盐的吸附能力明显高于ZrO2(4.8),后者的磷酸盐单位吸附量分别比前二者足足少了55.8%和60.5%.因此,如果城市污水存在HCO3-离子情况下,与沉淀pH值为4.8时所得水合氧化锆相比,沉淀pH值为8.0和10.6时所得水合氧化锆更适合作为吸附剂用于城市污水中磷酸盐的去除.

  共存2 mmol ·L-1 Na2SO4情况下,ZrO2(8.0) 和ZrO2(10.6) 对水中磷酸盐的吸附能力没有区别,而这2种水合氧化锆的吸磷能力均高于ZrO2(4.8).因此,如果污水存在SO42-条件下,沉淀pH值8.0和10.6所得水合氧化锆比沉淀pH值4.8所得水合氧化锆更适合作为吸附剂用于城市污水中磷酸盐的去除.

  2.3 溶液pH值对磷吸附的影响

  溶液pH值不仅会影响水合氧化锆表面的电荷、功能基团等性质,而且还会影响水中磷酸盐的存在形式,最终可能影响到水合氧化锆对水中磷酸盐的吸附能力.因此,探讨溶液pH值对不同沉淀pH条件下所得水合氧化锆吸磷能力的影响,对于应用水合氧化锆去除水中磷酸盐而言是非常必要的.共存NaCl情况下,溶液初始pH值对不同沉淀pH值条件下所得水合氧化锆吸附水中磷酸盐的影响见图 3(a).从中可见,不同沉淀pH值条件下所得水合氧化锆对水中磷酸盐的吸附能力均随溶液pH值的增加而降低.这说明酸性条件下有利于水合氧化锆对水中磷酸盐的吸附,而碱性条件不利于水合氧化锆对水中磷酸盐的吸附.这可以从以下几个方面得到解释.首先,随着溶液pH值的增加,水中以H2PO4-形式存在的磷酸盐量逐渐减少,而以HPO42-形式存在的磷酸盐量逐渐增加,H2PO4-的吸附自由能更小,更有利于通过配位体交换作用被水合金属氧化物所吸附,从而导致水合氧化锆对水中磷酸盐的吸附能力随溶液pH值的增加而降低.其次,当溶液pH值小于pHPZC时,随着溶液pH值的增加,水合氧化锆表面的Zr—OH2+基团会通过去质子化反应逐渐被转换为Zr—OH基团,而Zr—OH2+对磷酸盐的吸附而言具备更高的活性,从而不利于水合氧化锆对水中磷酸盐的吸附.再次,当溶液pH值大于pHPZC时,随着溶液pH值的增加,水合金属氧化物表面的负电荷数量逐渐增加,从而使得带负电荷的水合金属氧化物表面和水中带负电荷的磷酸根阴离子之间的静电排斥力逐渐增加,从而不利于水合氧化锆对水中磷酸盐的吸附.最后,较高pH值条件下,水中存在的OH-和磷酸盐对水合金属氧化物的竞争吸附作用降低了磷吸附能力.

  

图 3 溶液初始pH值对不同沉淀pH值条件下所得水合氧化锆吸附水中磷酸盐和溶液最终pH值的影响

  为了调查水合氧化锆吸附水中磷酸盐的机制,测定了吸附反应后不同初始pH值条件下磷酸盐溶液的最终pH值,并计算得到磷酸盐溶液的初始pH值 (pHi) 与最终pH值 (pHf) 之间的差值,结果见图 3(b).从中可见,当初始pH值为4时,ZrO2(4.8) 会导致磷酸盐溶液最终pH值的增加,而当初始pH值为5~11,磷酸盐溶液最终pH值则出现下降.当初始pH值为4~6时,ZrO2(8.0) 会导致磷酸盐溶液最终pH值的增加,而当初始pH值7~11时,磷酸盐溶液的最终pH值则出现下降.当初始pH值为4~7时,ZrO2(10.6) 会导致磷酸盐溶液最终pH值的增加,而当初始pH值8~11时,磷酸盐溶液的最终pH值则出现下降.对比分析图 1和图 3(b)的实验数据发现,相同的溶液初始pH值条件下,投加水合氧化锆后,磷酸盐溶液的最终pH值明显大于不含磷酸盐溶液的最终pH值.这意味着水合氧化锆吸附磷酸盐必定释放出一定数量的OH-,因为如果水合氧化锆吸附磷酸盐后没有释放出OH-的话,磷酸盐溶液的最终pH值必定不会明显大于不含磷酸盐溶液的最终pH值.吸附反应前后磷酸盐溶液pH值变化证实了,水合氧化锆表面羟基基团和水中磷酸盐之间的配位体交换作用是水合氧化锆吸附磷酸盐的一个重要机制.

  2.4 存在Na+而不存在Ca2+条件下不同水合氧化锆磷吸附等温线对比

  图 4为存在Na+而不存在Ca2+条件下不同沉淀pH值时所得水合氧化锆对水中磷酸盐的吸附等温线实验结果.从中可知,水合氧化锆对水中磷酸盐单位吸附量随着水中磷酸盐平衡浓度的增加而增加,最后达到吸附饱和.采用线性化Langmuir、Freundlich和D-R等温吸附模型对图 4实验数据进行线性拟合,计算得到的各等温吸附模型的参数和相关系数 (R2) 见表 2.根据各模型参数计算得到的等温吸附线亦见图 4.由表 2和图 4可见,存在Na+而不存在Ca2+条件下,ZrO2(4.8)、ZrO2(8.0) 和ZrO2(10.6) 锆对水中磷酸盐的吸附等温实验数据均可以采用Langmuir、Freundlich和D-R等温吸附模型加以描述.根据Langmuir等温吸附模型计算得到ZrO2(4.8)、ZrO2(8.0) 和ZrO2(10.6) 对水中磷酸盐的最大单层吸附量分别为41.8、43.9和44.4 mg ·g-1.这说明存在Na+而不存在Ca2+条件下不同沉淀pH值时所制备的水合氧化锆的饱和吸附容量差别不大.当磷酸盐初始浓度位于10~50 mg ·L-1之间时,根据Langmuir等温吸附模型计算得到的ZrO2(4.8)、ZrO2(8.0) 和ZrO2(10.6) 的RL值分别为0.013~0.064、0.028~0.126和0.058~0.237,均位于0~1之间,这说明吸附反应是优惠的.根据Freundlich等温吸附模型计算得到的ZrO2(4.8)、ZrO2(8.0) 和ZrO2(10.6) 的1/n值均位于0~1之间,这也说明吸附反应是优惠的.根据D-R等温吸附模型计算得到的E值均大于8 kJ ·mol-1,这说明了吸附反应属于化学吸附.这证实了存在Na+而不存在Ca2+条件下ZrO2(4.8)、ZrO2(8.0) 和ZrO2(10.6) 对水中磷酸盐的吸附机制为配位体交换和内层配合物形成.这与根据离子强度对吸附影响、吸附前后溶液pH变化所得出的结论是相一致的.

 

图 4 存在Na+而不存在Ca2+条件下不同沉淀pH值时所得水合氧化锆对水中磷酸盐的吸附等温线

  

  表 2 存在Na+而不存在Ca2+条件下水合氧化锆对磷酸盐的吸附等温线拟合参数和相关系数

  2.5 存在Ca2+条件下不同水合氧化锆磷吸附等温线对比分析

  图 5为存在Ca2+条件下不同沉淀pH值时所得水合氧化锆对水中磷酸盐的吸附等温线实验数据.由图 5可见,存在Ca2+时,相同的磷酸盐平衡浓度条件下ZrO2(8.0) 和ZrO2(10.6) 对水中磷酸盐的单位吸附量明显高于ZrO2(4.8).这说明存在Ca2+时ZrO2(8.0) 和ZrO2(10.6) 对水中磷酸盐的吸附能力明显强于ZrO2(4.8).采用线性化Langmuir、Freundlich和D-R等温吸附模型对图 5实验数据进行线性拟合,计算得到的各等温吸附模型的参数和相关系数 (R2) 见表 3.根据各模型参数计算得到的等温吸附线亦见图 5.由表 3和图 5可见,存在Ca2+条件下,Langmuir、Freundlich和D-R等温吸附模型均可以用于描述ZrO2(4.8)、ZrO2(8.0) 和ZrO2(10.6) 对水中磷酸盐的吸附平衡数据.根据Langmuir模型计算得到的ZrO2(4.8)、ZrO2(8.0) 和ZrO2(10.6) 对水中磷酸盐的最大单层吸附量分别为41.2、68.9和83.4 mg ·g-1.这说明存在Ca2+条件下ZrO2(8.0) 和ZrO2(10.6) 对水中磷酸盐的饱和吸附容量明显大于ZrO2(4.8).根据计算得到的Langmuir模型RL值以及Freundlich模型1/n值,存在Ca2+条件下3种不同沉淀pH值时所得水合氧化锆对水中磷酸盐的吸附属于优惠吸附.根据D-R模型计算得到的E值均大于8 kJ ·mol-1,这证实了存在Ca2+条件下ZrO2(4.8)、ZrO2(8.0) 和ZrO2(10.6) 对水中磷酸盐的吸附反应属于化学吸附而不是物理吸附.

  

图 5 存在Ca2+条件下不同沉淀pH值时所得水合氧化锆对水中磷酸盐的吸附等温线

  

  表 3 存在Ca2+条件下水合氧化锆对磷酸盐的吸附等温线拟合参数和相关系数

  当溶液中Ca2+和磷酸盐共存时,磷酸钙沉淀物可能会形成.如果磷酸钙沉淀物形成的话,那么水合氧化锆去除水中磷酸盐的机制包括吸附和沉淀.如果磷酸钙沉淀物没有形成的话,那么水合氧化锆去除水中磷酸盐主要靠吸附作用.为检验实验条件下溶液中磷酸钙沉淀物是否形成,对静置24 h后含Ca2+和磷酸盐溶液 (Ca2+浓度为2 mmol ·L-1、磷酸盐浓度为10~60 mg ·L-1、pH值为7.0) 中磷酸盐浓度进行了监测分析,结果发现,静置24 h后含Ca2+和磷酸盐溶液中磷酸盐浓度与初始磷酸盐浓度基本一致.这说明实验条件下磷酸钙沉淀不会发生,水合氧化锆去除水中磷酸盐的机制主要为吸附作用.

  2.6 不存在Ca2+条件下同水合氧化锆吸磷机制的对比分析

  综合分析离子强度对吸附的影响、吸附前后溶液pH值的变化以及平均吸附自由能等结果,并结合分析先前研究报道,得到结论:不存在Ca2+条件下ZrO2(4.8)、ZrO2(8.0) 和ZrO2(10.6) 对水中磷酸盐的吸附机制主要为配位体交换和内层配合物形成.不同沉淀pH值条件下制备的水合氧化锆与水中磷酸盐之间发生配位体交换的配位体类型是不同的.有研究表明,水合氧化锆表面吸附的氯和羟基基团均可以作为配位体与水中磷酸盐发生配位体交换.因此,ZrO2(4.8) 和ZrO2(8.0) 表面与水中磷酸盐发生交换的配位体主要为氯和羟基基团,而ZrO2(10.6) 表面与水中磷酸盐发生交换的配位体主要为羟基基团.水合氧化锆与水中磷酸盐之间的化学反应可以采用方程式 (9)~(11) 加以描述.

 

  式中,对于ZrO2(4.8) 和ZrO2(8.0) 而言,L是指Cl和—OH;对于ZrO2(10.6) 而言,L是指—OH.

  2.7 Ca2+对水合氧化锆吸附水中磷酸盐的影响机制

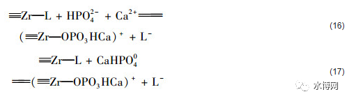
存在Ca2+条件下,水中磷酸盐仍然可以通过配位体交换作用被直接吸附到水合氧化锆表面上形成 内层配合物.这与根据计算得到的平均吸附自由能所得出的结论是一致的.溶液共存的Ca2+可能会从以下3个方面促进ZrO2(8.0) 和ZrO2(10.6) 对水中磷酸盐的吸附:① Ca2+被吸附到水合氧化锆表面可能会改变了水合氧化锆表面的电荷,这可能有利于对磷酸盐的吸附;② Ca2+被吸附到磷酸盐负载水合氧化锆表面上,形成了以磷酸盐为架桥的三元配合物即 ,这可能会降低已经被吸附到水合氧化锆表面的磷酸盐和水中还未被吸附的磷酸盐之间的静电排斥力,进而有利于对水中磷酸盐的吸附;③ 当pH 7时磷酸盐溶液中一部分磷会以CaHPO40形式存在,而与H2PO4-和HPO42-相比以CaHPO40形式存在的磷酸盐可能更容易被水合氧化锆所吸附.

  先前的研究已经发现,当溶液pH大于金属氧化物的pHPZC时,Ca2+可以被吸附到金属氧化物的表面.当初始pH值为7时,ZrO2(8.0) 和ZrO2(10.6) 表面带负电荷.因此,当初始pH值为7时,Ca2+可以被吸附到这2种水合氧化锆表面上,并且可以采用方程式 (12)~(15) 加以描述.

 

(15) 根据方程式 (12)~(15) 可以看出,一方面Ca2+被吸附到水合氧化锆表面后会增加吸附剂表面正电荷的数量或者会降低吸附剂表面负电荷的数量,这有利于水中带负电荷的磷酸盐向吸附剂表面迁移;另一方面Ca2+被吸附到水合氧化锆表面后会减少吸附剂表面的羟基数量,这不利于吸附剂通过配位体交换作用对水中磷酸盐的吸附;前者可能会被后者部分抵消,从而可能导致水合氧化锆对水中磷酸盐的吸附能力下降.为证实这个结论,本文对水合氧化锆和Ca2+负载水合氧化锆吸附水中磷酸盐的能力进行对比分析.结果发现,ZrO2(8.0) 和Ca2+负载ZrO2(8.0) 对水中磷酸盐单位吸附量分别为38.0 mg ·g-1和23.0 mg ·g-1;ZrO2(10.6) 和Ca2+负载ZrO2(10.6) 对水中磷酸盐单位吸附量分别为35.4 mg ·g-1和31.0 mg ·g-1.这证实了Ca2+预先负载降低了ZrO2(8.0) 和ZrO2(10.6) 对水中磷酸盐的吸附.当溶液中Ca2+和磷酸盐共存时,水合氧化锆表面可能会形成以Ca2+为架桥的三元配合物即 .如果 会形成的话,那么Ca2+预先负载不会降低水合氧化锆对水中磷酸盐的吸附能力.考虑到Ca2+负载水合氧化锆的吸磷能力明显低于未负载Ca2+水合氧化锆,因此当Ca2+和磷酸盐共存时形成 复合物的数量可以忽略不计.因此,Ca2+被直接吸附到水合氧化锆表面不是共存Ca2+促进ZrO2(8.0) 和ZrO2(10.6) 吸附水中磷酸盐的原因.

  先前的研究已经发现Ca2+被吸附到磷酸盐负载水合氧化锆表面上可以促进沉淀pH值为7.0条件下所得水合氧化锆对水中磷酸盐的吸附.为证实Ca2+被吸附到磷酸盐负载水合氧化锆表面是否会促进ZrO2(8.0) 和ZrO2(10.6) 对水中磷酸盐的吸附,本文对比分析了磷酸盐负载水合氧化锆和先磷酸盐负载再Ca2+负载水合氧化锆对水中磷酸盐的吸附能力.结果发现,磷酸盐负载ZrO2(8.0) 和先磷酸盐负载后Ca2+负载ZrO2(8.0) 对水中磷酸盐的单位吸附量分别为15.5 mg ·g-1和17.6 mg ·g-1.这证实了Ca2+被吸附到磷酸盐负载水合氧化锆表面上促进了ZrO2(8.0) 对水中磷酸盐的吸附.磷酸盐负载ZrO2(10.6) 和先磷酸盐负载后Ca2+负载ZrO2(10.6) 对水中磷酸盐的单位吸附量分别19.7 mg ·g-1和11.6 mg ·g-1.这证实Ca2+被吸附到磷酸盐负载水合氧化锆表面上不会促进ZrO2(10.6) 对水中磷酸盐的吸附.


  根据化学平衡计算软件Visual MINTEQ3计算确定,当溶液pH值为7时,Ca2+和磷酸盐共存溶液中一部分磷会以CaHPO40形式存在.先前的研究已经表明[38],与H2PO4-和HPO42-相比,以CaHPO40形式存在的磷酸盐更容易被吸附到水合金属氧化物表面.因此,Ca2+和磷酸盐共存溶液中CaHPO40的形成会促进沉淀pH值8.0和10.6时所得水合氧化锆对水中磷酸盐的吸附.

综上分析,共存Ca2+促进ZrO2(8.0) 对水中磷酸盐吸附的原因主要是Ca2+被吸附到磷酸盐负载水合氧化锆表面上形成三元配合物和水中CaHPO40的形成,而共存Ca2+促进ZrO2(10.6) 对水中磷酸盐吸附的原因主要是水中CaHPO40的形成.

  溶液共存Ca2+条件下,ZrO2(8.0) 对水中磷酸盐的吸附反应可以通过方程式 (9)、(10)、(11)、(16) 和 (17) 加以描述,而ZrO2(10.6) 对水中磷酸盐的吸附可以通过方程式 (9)、(10)、(11) 和 (17) 加以描述.

 

  式中,对于ZrO2(8.0) 而言,L是指Cl和——OH;对于ZrO2(10.6) 而言,L是指——OH.

  3 结论

  (1) 溶液共存的Na+仅略微促进了沉淀pH值为4.8和8.0时所得水合氧化锆对磷酸盐的吸附,却会明显促进了沉淀pH值为10.6时所得水合氧化锆对磷酸盐的吸附.

  (2) 溶液共存的Ca2+仅略微促进了沉淀pH值为4.8时水合氧化锆对磷酸盐的吸附,却会极大地促进了沉淀pH值为8.0和10.6时水合氧化锆对磷酸盐的吸附.

  (3) 溶液共存的HCO3-和SO42-抑制了水合氧化锆对磷酸盐的吸附,且它们对沉淀pH值为4.8时所得水合氧化锆吸附磷酸盐的抑制作用明显大于对沉淀pH值为8.0和10.6时水合氧化锆的抑制作用.

  (4) 随着溶液pH值的增加,不同沉淀pH条件下制备的水合氧化锆对水中磷酸盐的吸附能力均随之下降.

  (5) Langmuir、Freundlich和D-R等温吸附模型均可以用于描述不同沉淀pH条件下所得水合氧化锆对水中磷酸盐的吸附平衡数据.存在Na+而不存在Ca2+情况下,3种不同沉淀pH值条件下所得水合氧化锆对中性溶液中磷酸盐的最大单层吸附容量差别不大,而存在Ca2+情况下,沉淀pH值为8.0和10.6时所得水合氧化锆对中性溶液中磷酸盐的最大单层吸附容量远远高于沉淀pH值为4.8时制备的水合氧化锆.

  (6) 沉淀pH值为4.8和8.0时所得水合氧化锆的吸磷机制主要是表面氯和羟基基团与磷酸盐之间的配位体交换作用,而沉淀pH值为10.6时所得水合氧化锆的吸磷机制主要是表面羟基基团与磷酸盐之间的配位体交换作用.

标题
更多
技术支持: 全企网 | 管理登录
seo seo